Omnistab AN B225

Omnistab AN B225

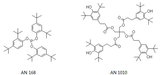
· Chemical Name:Omnistab AN B225 is a synergetic blend of Omnistab AN 168 and Omnistab AN 1010.

· CAS:AN 168:31570-04-4;AN 1010:6683-19-8

· Molecular formula:AN 168:C42H63O3P AN 1010:C73H108O12

· Molecular weight:AN 168:646.93 AN 1010:1177.65

Structural formula:
Omnistab AN B225
Applications

Widely used in polyethylene, polypropylene, polyformaldehyde, ABS resin, PS resin, PVC, PC, adhesives, rubber and petroleum products.It has outstanding processing stability and long-term protection effect on polyolefin.Through the synergistic action of antioxidant 1010 and antioxidant 168, the thermal degradation and oxidative degradation of plastics can be effectively inhibited.

Specifications
ItemSpecification
AppearanceWhite powder/granule
Content of AN101045.00-55.00%
Content of AN16845.00-55.00%
Loss on drying0.50% max
Transmittance425nm: 96.00% min  500nm: 98.00% min


Storage and transportation

25 KG Bag or as customers'  requirement.


Inquire Now

If you have questions, please fill out the form below and we will contact you as soon as possible

Sample Request

For better service and technical solution,please fill in the below form.

All information will be keep confidential.

The sample will be sent out within 5 working days,once receive your request form.

*Charge: $100 for each product