Address:Room 906, building 6, SIIC Center, No.195 Hong Kong East Road, Laoshan District, Qingdao city, Shandong Province, China
E-mail:info@deltachem.net
Triazine UV absorber is a new type UV absorber developed in recent years. Thanks to its advantages of broad spectrum absorption, high efficiency, good heat resistance and dispersion, Triazines become the research and development hotspot in the field of UV absorbers.

Triazine UV absorbers have superior absorption efficiency in both UVA and UVB bands, and can effectively protect polymer materials from yellowing, reduced gloss and degradation of physical properties caused by ultraviolet light. It is widely added to plastics, coatings, engineering plastics and other products to prevent photo-aging and improve the weather resistance of products.
Ø What’s the Mechanism of triazine UV absorbers?
The mechanism of triazine UV absorbers is similar to that of Benzophenone and Benzotriazole. Its intramolecular hydrogen bonds is broken and form cyclic tautomers as shown in the following figure:

The six-membered ring formed by its hydroxyl group and the nitrogen atom in the triazine ring has higher stability, and the energy required to open the ring is also higher. Therefore, Triazine UV absorbers release energy more quickly and recover after intramolecular isomerization, which has the advantage of low dosage with high efficiency.
Ø OMNISTAB Triazine UV absorbers
OMNISTAB Triazine UV absorbers cover: OMNISTAB UV1577, UV1164, UV400, UV1600, etc., which are widely used in the PET、PC、PVC、PA、ABS、PMMA and coatings.
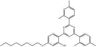
v OMNISTAB UV1577

Chemical structure of OMNISTAB UV1577
Key benefits: The α-OH group of triazine UV absorbers is yellow light absorbing group. That means the more α-OH group, the more yellow its appearance is. And the structure of UV1577 owns 1 α-OH group only, therefore, the usage of UV1577 is widened in light color products. Compared with common Benzotriazole UV absorbers, OMNISTAB UV1577 will offer better ultraviolet protection effect and improve the material weatherability and durability of the material.
OMNISTAB UV1577 is also suitable for other polymer composite plastics and reinforce polymer material, such as PC/ABS, PC/PBT, PPE/IPD, PPE/PA, etc.
v OMNISTAB UV1164

Chemical structure of OMNISTAB UV1164
Key benefits: OMNISTAB UV1164 has a larger molecular weight and lower volatility than UV1577. The difference of substituents also make UV1164 have wider range of applications, it can be used in nylon, PVC, PET, PBT, ABS, PMMA and other high performance plastics.

v OMNISTAB UV400

Chemical structure of OMNISTAB UV400
Key benefits: OMNISTAB UV400 is a kind of triazine UV absorber which used in industrial coatings. It is suitable for industrial paint and automotive paint with high performance and durability requirements, such as solvent-based or water based automotive coatings, OEM coatings and refinish coating systems. It can perfectly solve the problem of cracks and even fading on the surface of cars.