Address:Room 906, building 6, SIIC Center, No.195 Hong Kong East Road, Laoshan District, Qingdao city, Shandong Province, China
E-mail:info@deltachem.net
With the development of automotive lightweighting, TPO (thermoplastic polyolefin) materials play a crucial role in both automotive interior and exterior applications. TPO materials typically consist of polypropylene, high-performance impact modifiers, talc, and other fillers. The use of TPO materials effectively reduces vehicle weight while enhancing the safety and durability of automotive interior and exterior parts. Currently, TPO is widely applied in automotive components such as rear bumper panels, body parts, roof pillars, dashboard components, and door trims.
Automotive TPO materials typically have higher standards for yellowing resistance and color stability. The primary cause of yellowing in polyolefins is the formation of numerous double bonds, π bonds, and hydroperoxides during aging, which further form carbonyl and hydroxyl groups, causing the product to yellow.

Hindered phenolic antioxidants are the most widely used antioxidants in the market. They effectively delay polymer aging; however, their application is limited in certain special environments. Specifically, in high-temperature applications and in formulations with high color protection requirements, hindered phenolic antioxidants exhibit the following disadvantages:
Hindered phenolic antioxidants are prone to causing phenolic yellowing, phenolic red discoloration, and fume fading, leading to poor color quality in plastic products. This issue is particularly common in products with a large specific surface area (such as films, fibers, and filaments).
To address these limitations, the hydroxylamine-based antioxidant Omnistab® AN9142 was developed to resist phenolic yellowing and fume fading.
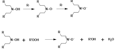
Mechanism of Action of Omnistab® AN9142
Omnistab® AN9142 is a new, high-temperature-resistant, multifunctional antioxidant that belongs to the hydroxylamine class of antioxidants. Hydroxylamine antioxidants not only capture free radicals but also decompose hydroperoxides. The specific mechanism is as follows:

Hydroxylamine antioxidants have excellent thermal stability and migration resistance. They effectively inhibit carbon free radicals, peroxy free radicals, hydroperoxides, and reduced quinone compounds generated during the thermal processing of polymers. Even under high and ultra-high temperature conditions, AN9142 provides excellent color stability and thermal processing stability for resins. It not only protects the polymer from thermal oxidation aging but also offers long-lasting anti-aging and yellowing resistance.

Applications and Advantages of Omnistab® AN9142
Low Coloration and Protection Against Smoke Yellowing: Omnistab® AN9142 has low intrinsic color and effectively prevents materials from undergoing smoke yellowing (or phenolic red discoloration). In contrast, hindered phenolic antioxidants are prone to reacting with nitrogen oxides (NOx), leading to the formation of colored by-products.

Excellent Compatibility with Polyolefins: Omnistab® AN9142 is highly compatible with polyolefin materials, has low volatility, and is resistant to migration. It is especially suitable for polypropylene fibers, automotive TPO, and systems that require high color stability and resistance to smoke yellowing.
Excellent MFR Stability in Polyolefin Processing: During the extrusion processing of polyolefin materials, Omnistab® AN9142 provides excellent melt flow rate (MFR) stability. Experimental results show that its ability to resist changes in melt index is superior to that of AN1010.
Synergistic Effect with HALS Stabilizers: When used in combination with HALS (hindered amine light stabilizers), Omnistab® AN9142 exhibits a strong synergistic effect.
For more information about Omnistab® AN9142 and its product details, please feel free to contact our sales team. Deltachem (Qingdao) Co. Ltd. is committed to safeguarding the quality of your polymer materials!